a. 6√7
b. 5√7
c. 4√7
d. 3√7
11. Bentuk sederhana dari
adalah….
a. 1/3√3 + 2/3√6
b. 1/3√1 + 2/3√3
c. 1/3 √6 + 2/3√3
d. 1/3√3 + 2/3√1
12. Jika 39-3x = 27, maka nilai x yang memenuhi adalah….
a. 2
b. 3
c. 4
d. 5
13. Jika 3-x+2 = 1/81, maka nilai x yang memenuhi adalah….
a. -2
b. -6
c. 2
d. 6
14. Diketahui a =2√3+ √5 dan b =3√5- √3. Nilai ab= ….
a. 5√15+9
b. 5√15+21
c. 5√15-9
d. 5√15-21
15. Bentuk sederhana
adalah….
a. 1/3 (√6+√15)
b. 1/3 (√6-√15)
c. -1/3 (√6+√15)
d. -1/3 (√6-√15)
16. Diketahui p x (3√2-√6) = 12. Nilai p yang memenuhi adalah….
a. 3√6+√2
b. 3√6-√2
c. 3√2+√6
d. 3√2-√6
17. Tentukan luas sebuah persegi jika diketahui panjang sisinya (3√6-2) cm.
a. 58 + 12√6
b. 58 – 12√6
c. 58 + 6√6
d. 58 – 12√6
18. Sebuah belah ketupat memiliki panjang diagonal (3√5)cm dan(2√5)cm. Luas belah ketupat tersebut adalah….
a. 12 cm2
b. 13 cm2
c. 14 cm2
d. 15 cm2
19. Panjang rusuk suatu kubus (3+4√2) cm, volume kubus tersebut adalah….cm3.
a. 315 + 236√2
b. 236 + 315√2
c. 315 – 236√2
d. 236 – 315√2
20.
Contoh Soal Pangkat dan Akar Kelas 9 SMP Gambar Sisi Miring
Panjang AC adalah…
a. 3-√2
b. 3+√2
c. 15-6√2
d. 15+6√2
>>>>KUNCI JAWABAN DAN PEMBAHASAN
1.
Jawaban : b
2.
√300 = √100.3
= 10√3
Jawaban : a
3.
Jawaban : d
4.
Jawaban : a
5.
Jawaban : a
6.
(√32)1/5 = 5√321 = 2
Jawaban : d
7.
∛125 = 5
5√243 = 3
∜16 = 2
Jadi susunan bilangan dari terkecil adalah ∜16, 5√243, ∛125
Jawaban : c
8.
23.080.000 = 2,308 x 107
Jawaban : b
9.
Jawaban : a
10.
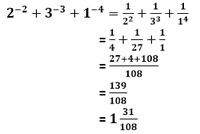
√175+4√7-√63 = √25.7 + 4√7 -√9.7
= 5√7 + 4√7 – 3√7
= 6√7
Jawaban : a
11.
Jawaban : c
12.
39-3x = 27
39-3x = 33
9 – 3x = 3
-3x = -6
x = -6/-3
x = 2
Jawaban : a
3-x+2 = 1/81
3-x+2 = 1/34
3-x+2 = 3-4
-x + 2 = -4
-x = -6
x = 6
Jawaban : d
14.
Ab = ….
(2√3+ √5)(3√5- √3) = 6√15-2.3 + 3.5-√15
= 6√15-6 + 15-√15
= 5√15 + 9
Jawaban : a
15.
Jawaban : a
16.
Jawaban : c
17.
Luas persegi = s x s
= (3√6-2) x (3√6-2)
= 54 – 6√6- 6√6 + 4
= 58 – 12√6
Jawaban : b
18.
Luas belah ketupat = 1/2 x d1 x d2
= 1/2 x 3√5 x 2√5
= 1/2 x (6.5)
= 1/2 x 30
= 15 cm2
Jawaban : d
19.
Volume kubus = s x s x s
= (3+4√2) x (3+4√2) x (3+4√2)
= {(3+4√2) x (3+4√2)} x (3+4√2)
= {9 + 12√2 + 12√2 + 32} x (3+4√2)
= {41 + 24√2} x (3+4√2)
= 123 + 164√2 + 72√2) + 192
= 315 + 236√2
Jawaban : a
20.
Panjang AC adalah ….
AC2 = AB2 + BC2
AC2 = (2-2√2)2 + (1+√2)2
AC2 = {(2-2√2)(2-2√2)} + {(1+√2) (1+√2)}
AC2 = {4-4√2 -4√2 +8 } + {1+ 1√2 + 1√2 + 2}
AC2 = {12-8√2} + {3+2√2}
AC2 = 15-6√2
Jawaban : c
Sumber: bospedia.com
Artikel ini telah tayang di tribunpontianak.co.id dengan judul KUNCI JAWABAN Matematika Kelas 9 SMP UTS Semester 2 Tahun 2021, Ulangan Tengah Semester Genap, https://pontianak.tribunnews.com/2021/03/09/kunci-jawaban-matematika-kelas-9-smp-uts-semester-2-tahun-2021-ulangan-tengah-semester-genap?page=all.
Penulis: Dhita Mutiasari
Editor: Dhita Mutiasari















